|
This post is completed by 2 users
|
Add to List |
75. Print the Binary Tree in Vertical Order Path
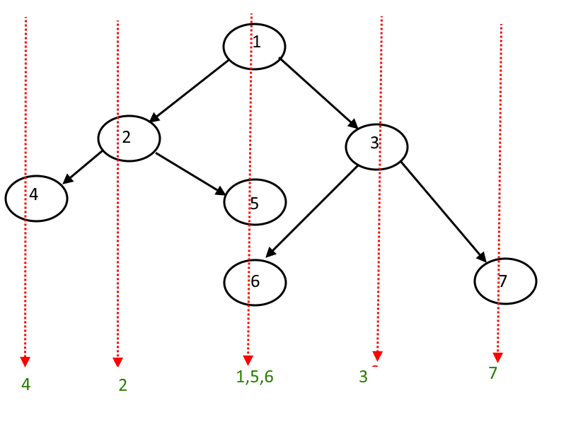
Objective: - Given a binary tree, print it in vertical order path.
What is Vertical Order

as you can see in the example above, [4],[2], [1,5,6],[3],[7] are the vertical order of the given binary tree.
Approach:
- Do the preorder traversal.
- Take a variable called level, whenever you go left, do level++ AND whenever you go right do level--.
- With the step above we have separated the levels vertically.
- Now you need to store the elements of each level, so create a map or dictionary to store the level as key and elements at that level as value.
- At the end iterate through the dictionary and print the results.

Output:
[4] [2] [1, 5, 6] [3] [7]